School Science Lessons
Chemistry
2026-02-23

Aliphatic and Aromatic Compounds

Contents
16.0.0 Aliphatic and Aromatic Compounds
16.1.0 Aliphatic compounds
16.2.0 Aromatic compounds
16.3.0 Organic acids
16.4.0 Tar and coal tar products
16.5.0 Wax


16.1.0 Aliphatic compounds
16.0.1 Aliphatic compounds
16.1.1 Cellulose, hemicellulose
16.1.2 Cyclitols
16.1.3 Glycosaminoglycans
16.1.4 Glycerides
16.1.5 Glycerol esters
16.1.6 Lecithins
16.1.7 Lipids
16.1.8 Nucleosides, nucleic acids, DNA, RNA
16.1.9 Pectin
16.1.10 Phospholipids (phosphoglycerides)
16.1.11 Polyketides
16.1.12 Polysaccharide gums
16.1.13 Polysaccharides
16.1.14 Heteropolysaccharides
16.1.15 Starches, amylum, glycogen
16.1.16 Sugar alcohols
16.1.17 Tetrasaccharides
16.1.18 Trisaccharides


16.2.0 Aromatic compounds
16.2.1 Aromatic compounds
16.2.3 Adenosine
16.2.4 Adenosine triphosphate
16.2.5 Aromatic acids
16.2.6 Aromatic alcohols
16.2.7 Aromatic aldehydes and ketones
16.2.8 Aromatic amines
16.2.9 Aromatic halogen compounds
16.2.23 Aromatic hydrocarbons 16.2.10 Aromatic nitro compounds
16.2.11 Aromatic sulfonic acids
16.2.12 Aryl groups
16.2.13 Benzodiazepines
16.2.14 Benzofuranoids
16.2.15 Bergamottin
16.2.16 Coumarin
16.2.17 Diazo compounds
16.2.18 Dihydrocoumarin
16.2.19 Five-member heterocycles
16.2.20 Lactams
16.2.21 Parabens
16.2.22 Pyridine


16.3.0 Organic acids
16.3.1 Alpha hydroxy acids
16.3.2 Dicarboxylic acids
16.3.3 Keto acids
16.3.4 Saturated carboxylic acids
16.3.5 Tricarboxylic acids
16.3.6 Unsaturated fatty acids
16.3.7 Barbiturates

16.4.1Angelicin
16.4.2 Apterin
16.4.3 Archangelicin
16.4.4 Arabinoxylans
16.4.5 β-glucan


16.5.0 Wax
Waxes
Beeswax
Candelilla wax
Carnauba wax
Cetyl palmitate
Heelball wax
Jojoba oil
Meadow foam oil
Osthole
Phyllodulcin
Psoralen
Pinitol
Quebrachitol
Saccharin
Scopoletin
Scopolin
Sucralose
Trimethylpsoralen
Wool wax

16.6.1 Terpenes
16.6.2 Terpenoids
16.6.3 Terpinenes
16.6.4 Trimethoxycoumarin
16.6.5 Trioxsalen
16.6.6 Umbelliferone
16.6.7 Xanthotoxin
16.6.8 Xanthotoxol


16.4.0 Tar and coal tar products
Creosote (prohibited substance for schools)
Tar, wood tar, is a hydrocarbon mixture from destructive distillation of wood, e.g. birch, coal, organic substances.
Coal tar products are chemicals produced from destructive distillation of coal when making coke for steel production.
Many organic compounds can be isolated by distillation of coal tar, but many are now made from petroleum or natural gas.
The residue of coal tar distillation is called pitch and is used for road tar and waterproofing of roof material.
The residue of petroleum distillation is called asphalt, but also called "tar".
Coal tar paints resist heat and moisture.
Coal tar dyes, called azo dyes, are made from azobenzene and were used as food colourings.
Coal tar products include:
1. hydrocarbon oils, e.g. benzene, toluene, xylene
2. phenols, e.g. carbolic acid, and
3. bases, e.g. pyridine.
Coal tar is a creosol mixture that includes 2-hydroxytoluene, 3-hydroxytoluene, 4-hydroxytoluene.
It sensitizes skin to sunlight, so use gloves, because it may cause skin cancer.
It is used as a wood preservative of railway sleepers, telegraph poles, fungicide, soap for skin diseases, and sheep dip insecticide.
Wood creosote is a mixture of phenols of wood tar.
It is used as a disinfectant, cough medicine, diarrhoea medicine, preservative, and antiseptic.


16.0.1 Aliphatic compounds
Aliphatic compounds are hydrocarbons where the atoms are linked by single, double, or triple bonds.
Saturated hydrocarbons have a single carbon-carbon bond, -C-C-.
Unsaturated hydrocarbons have double bonds or triple bonds between the carbon atoms.

16.1.1 Cellulose, hemicellulose
See diagram 16.3.1.6a: Cellulose, three glucose molecules linked to form cellulose
See diagram 16.3.1.7a: Cellulose
See diagram 16.3.1.7C: Linamarin
See diagram 16.3.1.7d: Cyanohydrin
Cellulose and hemicellulose are polysaccharides.
Cellulose is a long unbranched glucose polymer.
Gun-cotton was prepared by saturating cotton or cellulose material in nitric acid and sulfuric acid to produce a highly explosive substance.
Hemicelluloses, e.g. xylan in hardwood, occurs with cellulose in plant cell walls.
Hemicellulose molecules are branched and shorter in length than cellulose.
Hemicellulose in endosperm of Phytelephas ivory palm, Arecaceae, forms vegetable ivory.


16.1.2 Cyclitols
Cyclitols, carbocyclic inositols, cycloalkanes, from cyclohexane.
Cyclohexane-1,2,3 4,5,6-hexol, C6H12O6, is prescribed for some medical conditions, but should not be taken as a "vitamin supplement" to the diet.
List of cyclitols: Inositol, C6H12O6, occurs in in (Camellia sinensis).
Pinitol
Quebrachitol
Viburnitol, C6H12O5, occurs in (Viscum album).


16.1.3 Glycosaminoglycans
Glycosaminoglycans, (GAGs), mucopolysaccharides, are linear polysaccharides of disaccharide repeating units.
They are used by the body as lubricants or shock absorbers.
Glucosamine, C6H13NO5, is converted to glycosamineglycans.
Glucosamine hydrochloride and glucosamine sulfate may be used to repair cartilage and alleviate osteoarthritis.
Sold as: D-(+)-Glucosamine hydrochloride, C6H13NO5HCl
Heparin, C12H19NO20S3, is anticoagulant, naturally-occurring glycosaminoglycan, used usually by injection for heart attacks.
Unfractionated heparin is a complex mixture of naturally occurring glycosaminoglycans.
Sold as: Heparin sodium salt from porcine intestinal mucosa, anticoagulant.


16.1.4 Glycerides
Glycerides are common biological substances made from esters of glycerol, (propane-1,2,3-triol), with fatty acids:
Triglycerides are formed from the esterification of three fatty acid molecules with a glycerol molecule.
The fats and oils found in living organisms are mainly triglycerides:
1. Monoglycerols, (monoglycerides), e.g. 1-monoacyl glycerol, 2-monoacyl glycerol
2. Diglycerols, (diglycerides), e.g. 1,2-diacyl glycerol, 1,3-diacyl glycerol
3. Triglycerols, (triglycerides), (fats, main storage lipids), e.g. triacyl glycerol.
Glycerides, glycerine esters, are fatty acid esters of glycerol (HOCH2CH(OH)CH2OH.
Esters can form at one, two or three of the hydroxyl groups to form monoglycerides, diglycerides and triglycerides.


16.1.5 Glycerol esters
Glycerol, C3H8O3, glycerine, glycerin, IUPAC: Propane-1,2,3-triol
Plant oils are usually triglyceride molecules, esters, composed of a 3C alcohol, glycerol, + 18C or 16C fatty acids containing 12C to 24C.
The number of carbon atoms is counted from the end of the molecule with the carboxylic acid group, COOH.
The position of the first double bond is counted from the other end, the methyl or ω end.
Whether the fatty acid is an ω-6 fatty acid or an ω-3 fatty acid depends on the position of the first double bond.
Polyglycerol esters of fatty acids, (PEFA), (E 475), is an authorised food additive.


16.1.6 Lecithin
Lecithin, C42H80NO8P, soybean phospholipid, ester of glycerol and choline with fatty acids and H3PO4, occur in cell membranes.
The lecithin group (phosphatidylcholine group) are yellow-brown fatty phospholipids.
They occur in egg yolks and plasma membranes of plant and animal cells.
They are used as emulsifiers in foods, and cosmetics.
Sold as: "Lecithin (Soy phosphatides)", "Sunflower Lecithin", "Egg Yolk Lecithin".


16.1.7 Lipids
Lipids, fats and oils, fatty acids, glycerides
Lipids are biological substances that are soluble in nonpolar solvents:
1. saponification lipids, e.g. glycerides (fats and oils), and phospholipids, 2. non-saponification lipids, e.g. steroids.
Lipids refers to the oils, fats and waxes found in living organisms.
Lipids are insoluble in water, but soluble in inorganic solvents, e.g. chloroform.
The simple lipids do not contain fatty acids, e.g. steroids
The complex lipids are esters of long chain fatty acids, e.g. glycerides, glycolipids, phospholipids, waxes.
Fatty acids are aliphatic monocarboxylic acids.
See diagram 16.3.3.1: Esterification of glycerol to form fatty acids, fats
See diagram 16.3.3: Lipids, cephalins, glycerides, glycolipids, lecithins, phosphoglycerides, prostaglandins
See diagram 19.2.1: Oleic acid, stearic acid, linoleic acid (cis and trans)
See diagram 16.3.3.2: Saturated and unsaturated fatty acid, triglyceride
See diagram 16.3.3.4: Human fat molecule.


16.1.8 Nucleosides
See diagram 16.3.2.8: : Nucleic acid
See diagram 16.21.10: Purines
See diagram 16.3.4.4: Pyrimidine
See diagram 16.21.13: Pyrimidines
1. Nucleic acids are macromolecules from the nuclei of cells, composed of nucleotide units, and can be hydrolysed into pyrimidine
or purine bases, adenine, cytosine, guanine, thymine, uracil, D-ribose or 2-deoxy-D-ribose, and phosphoric acid.
2. Nucleic acids do several functions in living cells, e.g. storage of genetic information and its transfer from one generation to the next.
3. DNA (deoxyribonucleic acid), the expression of this information in protein synthesis (mRNA, tRNA).
It may act as functional components of subcellular units, e.g. ribosomes (rRNA).
4. RNA (ribonucleic acid), contains D-ribose, whereas DNA contains 2-deoxy-D-ribose as the sugar component.
5. A nucleoside, a glycosylamine, is a sugar molecule linked to a purine or pyrimidine base.
Adenosine, guanosine, cytidine, and uricil (which contain ribose).br> Deoxyadenosine, deoxyguanosine, deoxycytidine and thymidine, (which contain deoxyribose).
6. A nucleotide is a nucleoside linked to a phosphate group.
The molecular building blocks of DNA and RNA are nucleotides.
The four nucleobases in the nucleic acid RNA: Adenine, Cytosine, Guanine, Uricil
1. Adenine, C5H5N5 | Adenosine nucleoside: Adenine + 5 carbon sugar | Adenosine nucleotide: adenosine + phosphate
2. Cytosine, C4H5N3O | Cytidine nucleoside: Cytosine + 5 carbon sugar | Cytidine nucleotide: cytidine + phosphate
3. Guanine, C5H5N5O | Guanosine nucleoside: Guanine + 5 carbon sugar | Guanosine nucleotide: guanosine + phosphate
4. Uricil, C4H4N2O2 | Uricil nucleoside: Uricil + 5 carbon sugar | Uricil nucleotide: uricil + phosphate


16.1.9 Pectin
Pectin is a polysaccharide that forms the primary cell walls of many terrestrial plants.
Pectin has various uses in the food industry as it acts as a gelling agent for jams and jellies.
It is also used as a food thickening agent and stabilizer in juices, milk.
Pectin, poly-D-galacturonic acid methyl ester, from apple and citrus peel, is a heterosaccharide component of plant cell walls.
It is used as a substrate to identify, differentiate and characterized pectinases.
Pectin is used to study its degradation by pectinolytic bacteria.
Pectin has high molecular weight, cements adjacent plant cells, and is dissolved by pectinase in ripening fruit.
It is sold as a white-brown powder and is used to form gels and as thickening agents.
Galactouronic acid, C6H10O7, is a component of pectin.
Pectinase, polygalacturonase, catalyzes hydrolysis in pectin
Pectinesterase, pectin methylesterase, catalyzes hydrolysis of methyl esters of pectin --> pectate + methanol
Pectolyase from Aspergillus japonicus plant cell culture, catalyzes breakdown of methyl esters --> oligosaccharides.
Pectin is sold as "Apple Pectin Powder"


16.1.10 Phospholipids
1. Phospholipids are the key component of cell membranes.
In aqueous solutions, phospholipid hydrophobic fatty acid tails come togethr to minimize interactions with the water molecules.
This action results in a phospholipid bilayer, which is a membrane consisting of two layers of oppositely-oriented phospholipid molecules.
The heads of the molecules are exposed to the liquid on both sides, and with the tails directed into the membrane.
2. Phospholipids are an important precursor for the generation of carbonyl compounds in the aroma of deep-fat fried food.
Phospholipids form when hydroxyl groups form esters with phosphate groups, and they occur as two groups:
2a. Phosphoglycerides, e.g. lecithin in cell membranes and in bile.
Phosphatidyl choline (formerly lecithin), phosphatide with organic base choline, in biological membranes, e.g. egg yolk, is used as a natural emulsifier.
Lecithin, C42H80NO8P, Soybean phospholipid, a phosphatidylcholine, is a complex mixture of phospholipids, glycolipids, triglycerides, phosphatidylcholines, phosphatidylethanolamines, and phosphatidylinositols.
Egg yolk phospholipids (EYPL) are used as carriers for lipophilic drugs and are a major ingredient of lipid microspheres.
2b. Sphingolipids in plant and animal cell membranes.
It is a fat molecule with a phosphate group, replacing the third fatty acid.
glycerol-3-phosphate + 2-monacyl glycerol --> triacyl glycerol + phospholipids.
Sphingolipids: sphingenine, cerebrosides, sphingomyelin.
Sold as: | Antarctic krill | Omega-3 Phospholipids | Astaxanthin with Phospholipids |
Sphingolipids are derivatives of long chain sphingoid bases. e.g. sphingosine, C18H37NO2, the most abundant sphingoid base in mammals.
Experiment
The Langmuir trough experiment
A trough with a moveable barrier is filled with water.
Pull on the sliding barrier to increase the surface area between the moveable barrier and the wall of the trough.
As the area between th barrier and the trough wall increases, the depth of oil molecules decreases towards only one molecule thick.
With a further pull on the sliding barrier, the oil can no longer cover the entire surface of the water between the barrier and the troph wall.
So the oil layer beaks into round droplets, surrounded by water molecules.


16.1.11 Polyketides
Polyketides, polyketide antibiotics
Molecules having more than two carbonyl groups connected by single carbon atoms.
Occur in some bacteria and fungi, e.g. Aspergillus.
They include polyketide antibiotics, erythromycin, linear tetracyclines, erythromycin polyenes, nystatin, polyether antibiotics, β-lactams, aflatoxins.
Erythromycin, E-Mycin, Erythrocin, C37H67NO13, white powder.


16.1.12 Polysaccharide gums
Polysaccharide gums, Gums, Phycocolloids
Food stabilizers and thickeners:
1. Gums:
Guar gum from Cyamopsis | Gum tragacanth from Astragalus | Locust bean gum from carob, Certonia | Gum arabic from Acacia senegal
Gum karyaya from Sterculia | Gum ghatti from Anogeissus | Xanthan gum from fermented corn sugar).
2. Phycocolloids: Alginates, algin, from kelp, Laminaria and Macrocystis | Carrageenan from red algae |, Irish moss, Chondrus crispus | Agar from red algae,
Gelidium and Gracilaria).
3. Acacia gum, brittle, odorless, tasteless, contains neutral sugars, mainly arabin, topical preparation is used to promote wound healing.
4. Acacia Senegal gum, 31 carbon atoms, hydrocarbon chain, is used as a thickener.
5. Acacia gum, gum arabic, (from Acacia senegal), E414, (vegetable gum)


16.1.13 Polysaccharides
Polysaccharides are long carbohydrate molecules.
They consist of repeated monomer units joined together in a chain by glycosidic bonds and contain linked monosaccharide units (C6H10O5)n
Starch comprises components Amylose + Amylopectin.
Gums are almost pure polysaccharides
Agar, Alginic acid, Carrageenan, Cellulose, Gum arabic, Gum Tragacanth, Inulin, Laminarin, Pectin, Phytoglycogen, Porphyran, Starch
Beta-Glucan, C18H32O16, occurs in chitin fungi and other edible mushrooms.
Lentinan fruit body of shiitake (Lentinula edodes mycelium (LEM)) and other edible mushrooms.
Inulins diverse plants, e.g. topinambour, chicory.
Lignin occurs in stones of fruits, vegetables (filaments of the garden bean), cereals.
Pectins occur in fruit skin (mainly apple and, quince), vegetables.
Protease inhibitors occur in soybean, seeds, legumes, potatoes, eggs, cereals.
1. Homopolysaccharides, homoglycans, contain the same type of monomer unit
2. Glucosans (from glucose)
Starch, amylopectin glucosan + amylose sugar
Glycogen, glucose residues
Cellulose, D-glucose units
3. Fructans (from fructose)
Inulin, D-fructose, in artichokes
4. Galactans (from galactose)


16.1.14 Heteropolysaccharides
Heteropolysaccharides, heteroglycans, contain different type of monomer units
Acidic, mucopolysaccharides, glycosaminoglycans long unbranched polysaccharides, repeating disaccharide units
Chitin
Chondroitin sulfate
Dextran
Heparin
Hyaluronic acid
Keratan sulfate


16.1.15 Starches, amylum, glycogen
See diagram 16.3.1.5a: Starch, amylose, amylum, soluble starch, many glucose units
amylopectin, insoluble starch, 40 to 60 branched glucose units
Starch, amylum = amylose + amylopectin.
Glycogen in animals
Glycogen, α-1,4- and α-1,6-glucan, unbranched glucose polymer similar to amylopectin
Inulin = D-fructose units, from Helianthus
Experiment
Boil cut potato in water then let cool.
Filter the solution to separate the soluble amylase from the insoluble amylopectin of the starch grains.
Add tincture of iodine to the filtered starch solution.
An intense blue colour occurs.
The solution contains β-amylase, C6H10O5, forms a complex with iodine: (β-amylase)p (I-), (I2)r(H2O)s [where r < p< s].


16.1.16, Sugar alcohols
Sugar alcohols, alditols, glycitols, HOCH2(CHOH)nCH2OH), have one –OH group to each carbon atom, as carbon chains not rings, are called polyols.
They used in the food industry as thickeners and sweeteners.
Sugar alcohols include: Arabitol, Ethylene glycol, Erythritol, Glycerol, Xylitol, Lactitol Mannitol, Maltitol, Sorbitol


16.1.17 Tetrasaccharides
Tetrasaccharides, C24H42O21, --> 4 monosaccharides (Hydrolysis)
Lychnose Maltotetraose in Starchsyrup Nigerotetraose Nystose Sesamose Stachyose, in many plants, e.g. artichoke, soybean
See diagram 16.3.1.4: Stachyose, acarbose
Acarbose C25H43NO18, is an anti-diabetic drug


16.1.18 Trisaccharides Trisaccharides, C18H32O16, Trisaccharides contain 3 monosaccharides.
Nigerotriose Maltotriose Melezitose Maltotriulose Kestose Raffinose (fructose + galactose + glucose)
Lychnose, C24H42O21, tetrasaccharide, reserve carbohydrate, sweet, in Lychnis, Dianthus, in Caryophyllaceae, woody plants, cucurbits and legumes.


16.2.1 Aromatic compounds
Aromatic compounds are unsaturated chemical compounds with the planar rings of atoms linked by covalent bonds.
The term "aromatic" may mean a fragrant, pungent, spicy, sweet smelling odour, and they are usually compounds having a benzene ring.
However, "aromatic" may refer to ring-shaped flat molecules with a ring of resonance bonds (changing forwards and backwards) as in the benzene molecule.
Originally the term "aromatic" referred to compounds containing the phenyl radical.
Aromatics, aromatic compounds, benzene derivatives, ring systems, arenes: benzene, toluene, naphthalene
See diagram 16.3.4.0: Acridine, anthracene, anthraquinone, cinnoline, naphthalene, naphthol, quinoline
See diagram 16.8.0: Acetylsalicyclic acid, (aspirin), benzene, benzoic acid, naphthalene
See diagram 16.3.4.1: Single substitution, more than single substitution
See diagram 16.3.4.4: Heterocyclic compounds: pyridine (2-aminopyridine, 3-bromopyridine, 3-nitropyridine

Nicotinic acid, niacin
(azines: piperidine, pyridinium chloride), pyrylium ion
(quinoline, isoquinoline, 5-nitroquinoline)
(pyrimidines: cytisine, thymine, uracil)
(diazines: pyrazine, pyridazine, pyrimidine)
Aromatics have planar ring-type groups usually composed of carbon atoms, and at least one benzene ring in the molecule, e.g. benzene, naphthalene, with alternating double and single bonds.
Extensive localization occurs, because some electrons in the molecule are free to move from one atom to another.
The term "aromatic" described the smell of some compounds, later were found to contain benzene or fused benzene rings in the structure.
It includes arenes and their substitution products, e.g. benzene, naphthalene, toluene, and aromatic heterocyclic structures, e.g. thiophene.


16.2.2 Adenine
Adenine, (C5H5N5), 6-aminopurine, vitamin B4, , also occurs in adenine nucleotides.
It is a component of DNA and RNA.
Adenine forms adenosine with ribose, which may form ATP, Adenosine Triphosphate, C10H16N5O13P3.
ATP is involved in energy transfer during cellular metabolism.
It is produced by (Saccharomyces cerevisiae).
Adenine, C5H5N5, DNA and RNA
Purines and pyrimidines alkaloids
Structure of DNA was first suggested by J. D. Watson and F. H. C. Crick.


16.2.3 Adenosine
Adenosine, , C10H13N5O4, (adenine + d-ribose), adenine riboside, adenine-9-β-D-ribofuranoside
Adenosine, ribonucleoside, neurotransmitter, adenosine and derivatives with many roles in metabolism, components of DNA and RNA
Adenosine, vasodilatory, antiarrhythmic, analgesic, adenosine receptor
ADP, adenosine diphosphate, C10H15N5O10P2
ATP, adenosine triphosphate, C10H16N5O13P3


16.2.4 Adenosine triphosphate
See diagram 6.6.1.1, ATP, adenosine triphosphate
See diagram ATP: Adenosine triphosphate
ATP, adenosine triphosphate, C10H16N5O13P3, a nucleoside triphosphate, consists of adenine C5H5N5, D- ribose C5H10O5, triphosphate. 3(PO4).
ATP is the energy carrier of all living cells.
When an ATP molecule loses a phosphate bond, it becomes ADP, adenosine diphosphate, and energy is released in the cell.
Adenosine triphosphate, ATP, has three phosphate groups and the terminal third phosphate of ATP can transfer to other molecules to make them more reactive.
For example the glucose molecule can receive a phosphate from ATP phosphorylation, to become glucose-phosphate and can then be quickly broken down.
>

16.2.5 Aromatic acids
Aromatic acids and their derivatives
See diagram 16.3.4.11: Acetyl salicyclic acid (aspirin)
Benzoic acid, C7H6O2 or C6H5COOH, fungistatic compound used as food preservative,
Its sodium salts are bacteriostatic, germicidal agents, colourless crystalline solid.
Benzoic acid is the simplest aromatic carboxylic acid, and occurs naturally free and as benzoic acid esters in plants and animals.
It occurs in most berries, (about 0.05%), e.g. cranberries, (300-1300 mg free benzoic acid per kg fruit, raspberries, (up to 0.05% benzoic acid).
They are produced when gut bacteria process polyphenols from ingested fruits or beverages.
They are used in creams for treating haemorrhoids and may be included in foods of pH < 4.5, e.g. soft drinks, to inhibit the growth of bacteria.
They are conjugated to glycine in the liver, and excreted as hippuric acid.
See diagram Benzoic acid.
See diagram 16.3.4.12: Benzoic acid, caffeine, paracetamol, phenacetin
Benzoyl chloride, C7H5ClO or C6H5COCl


16.2.6 Aromatic alcohols
Galactinol, (Dulcitol), Glycerol, Mannitol, Sorbitol, C6H14O6, D-glucitol
Phenyl methanol (benzyl alcohol) C6H5CH2OH


16.2.7 Aromatic aldehydes and ketones
Benison, C14H12O2, (2-Hydroxy-2-phenylacetophenone), (2-Hydroxy-1,2-Diphenylethanone), desyl alcohol, bitter almond oil
Benzaldehyde, benzenecarbaldehyde, benzene aldehyde, C6H5CHO, almond kernel flavouring.
Camphor is synthesized from benzaldehyde in a condensation reaction.
See diagram 16.8.1.


16.2.8 Aromatic amines
Aromatic ring attached to an amine, widly occurring compounds, includes phenylamine (aniline, amino benzene), C6H5NH2.
Aniline, (Experiments)


16.2.9 Aromatic halogen compounds
Aromatic halogen compounds, aryl halide, halogenarenes, e.g. benzyl chloride, C6H5COCl
See diagram 16.3.4.0.6: DDT, methoxychlor, Synergists: piperonyl butoxide
See diagram 16.13.3: Aromatic halogen compounds, benzene hexachloride, chlorothalanil, DCPA, dalapon
See diagram 16.13.4: Aldrin, chlordane, dieldrin, endosulfan, heptachlor
Bromobenzene, iodobenzene, chlorobenzene (BHC, benzene hexachloride, lindane), chlorothanil
Cyclodienes: chlordane, aldrin, dieldrin, heptachlor, endosulfan
DDT insecticide: Cl(C6H4Cl)2CH(CCl3
(Former name: (dichlorodiphenyltrichloroethane)
(IUPAC name: 1,1'-(2,2,2-Trichloroethane-1,1-diyl)bis(4-chlorobenzene)!


16.2.10 Aromatic nitro compounds
Aromatic nitro compounds, e.g. Nitrobenzene, oil of mirhan, C6H5NO2.


16.2.11 Aromatic sulfonic acids
Aromatic sulfonic acids, e.g. benzene sulfonic acid C6H5SO2OH, sodium benzene sulfonate.


16.2.12 Aryl groups
Aryls are groups from an aromatic hydrocarbon by removal of a hydrogen atom, e.g. benzene, C6H6, less 1 hydrogen atom, H --> phenyl group, C6H5.


16.1.13 Benzodiazepines
Benzodiazepines are tranquillizers, sedatives, and hypnotics.
Diazepam, Valium
See diagram 16.3.4.0.5b: Diazepam, C16H13ClN2O, (Valium)
Oxazepam (Serax),
Nitrazepam (Mogadon),
Chlordiazepoxide (Librium),
Flunitrazepam (Rohypnol).
Benzodiazepines is used to assist the neurotransmitter γ-aminobutyric acid to treat anxiety, insomnia, seizures, and preparation for medical procedures.


16.2.14 Benzofuranoids
See diagram 16.3.4.12: Coumarin, furan, Bergamottin See diagram 16.3.4.13: Bergamottin, lovastatin, atorvastatin
Atorvastatin calcium salt trihydrate, [C33H34FN2O5.0.5Ca.1.5H2O]
Benzofuranoids: (furan C4H4O) (benzofuran, coumarone, C8H6O, (2,3-benzofuran) (benzodifuran) (isobenzofuran)
Benzofuranoid derivatives used as anti-inflammatory constituents from Eupatorium cannabinum.
Benzopyrans, chromenes, have a benzene ring + heterocyclic pyran ring, C5H6O.
1-benzopyran (chromene), 2-benzopyran (isochromene)


16.2.15 Bergamottin
Bergamottin, C21H22O4, oil of bergamot, is a furanocoumarin, (furan ring C4H4O + coumarin).
It occurs in (Citrus bergamia), bergamot orange, Earl Grey tea, grapefruit juice, oil of Bergamot orange, and other citrus fruits.
Bergamottin is an inhibitor of enzyme CYP3A4 in liver and intestine, cause the "grapefruit effect" on some drugs, e.g. atorvastin (lipitor), cannot be eliminated.
Bergamottin in grapefruit interferes with the action of drugs, e.g. atorvastatin, to lower bad cholesterol, by blocking the action of enzymes in the small intestine to increase the amount of drug absorbed and the action of fexofenadine, ("Allegra", allergy medicine, runny nose), by blocking the action of transporters to decrease the amount of drug to target cells.
Grapefruit juice increases oral bioavailability of drugs metabolized by cytochrome P450 3A4 through inhibiting the enzymatic activity and decreasing the content of intestinal P450 3A4.
Bergamottin also causes increased glucuronidation of bergamottin analog, so be cautious when drinking grapefruit juice and taking certain medications, e.g. statins.


16.2.16 Coumarin
Coumarins are benzopyrone organic compounds, in many plants, aromatic lactones, fluoresce in UV light, antimicrobial, antiviral, antiinflammatory, antidiabetic, antioxidant, enzyme inhibitory.
Classification of coumarins:
1. Hydroxycoumarins
2. Furanocoumarins
3. Pyranocoumarins, in fruits and roots of Umbelliferae and Rutaceae
Parent compound
1. Coumarin, (C9H6O2), 1,2-benzopyrone, 1-benzopyran-2-one, chromen-2.one, a phenylpropanoid, colourless crystals, flakes or colourless to white powder pleasant sweet vanilla odour, released on wilting, bitter aromatic burning taste, irritant, health hazard, moderately heptotoxic, fluorescent dye, used in perfumes
It occurs in many plants and released on wilting used to make medical anticoagulants which compete with vitamin K, and used to make warfarin, C19H16O4, a medical anticoagulant and rat poison, e.g. "Ratsac".
It occurs in Tonka bean, Aloe vera, Sweet woodruff, and (Artemisia vulgaris).
See diagram: Coumarin
2. The sweet smell of new mown hay is because of a coumarin from cut clover, e.g. white clover (Melilotus alba), when a glucosidase reacts with glycosylated cinnamic acid to produce hydroxycinnamic acid that esterifies to form coumarin.
Newly cut grass produces a variety of volatile organic compounds depending on the type of grass and when it is cut during its life cycle.
The compounds include methanol, ethanol, acetaldehyde, acetone, butane, 1,8-cineole, aldehydes of hexanoic acid (caproic acid, CH3(CH2)4COOH, and so-called hexenyl compounds.
These emitted compounds may be a significant proportion of atmospheric pollution emitted during motorized grass cutting and grazing.
3. Coumaric acid, C9H8O3, p-coumaric acid, hydroxycinnamic acid
It occurs in (Camellia sinensis) and (Camellia reticulata).


16.2.17 Diazo compounds
Diazo refers to the bleaching action of ultraviolet radiation on diazonium salts.
Diazo compounds (2 linked nitrogen compounds), e.g. methyl orange (dimethyl-aminoazobenzene sulfonic acid), (diazonium ion: C6H5N2+), (C6H5N+N), diazonium salts [(RNN+)Cl-], e.g. methyl orange (dimethyl-aminoazobenzene sulfonic acid), (CH2)2N(C6H4N=N(C6H4SO2O-Na+ benzene diazonium chloride, chrysoidine azo compounds (-N-N-) (diazonium ion + benzene ring).


16.2.18 Dihydrocoumarin
Dihydrocoumarin, C9H6O2, (3,4-dihydrocoumarin), white-yellow clear oily liquid, sweet odour, solid at room temperature.
It occurs in Glebionis segetum, in Melilotus officinalis (sweet clover) and green vegetables, flavouring ingredient.


16.2.19 Five-member heterocycles
See diagram 16.3.4.5: 5-member heterocycles
See diagram 14.05: Histamine, major tranquillizers, tricyclic anti-depressants
Heterocyclic molecules have different atoms in the ring:
Furan C4H4O, Pyrrole (CH)4NH, Thiazole C3SNH3, Thiephene C4H4S.


16.2.20 Lactams
Lactams -NH(CO-, e.g. caprolactam (6-hexanelactam) C6H11NO
See diagram 16.3.4.3: Lactams, penicillin G, amoxicillin
Lactams in part of a ring, cyclic amides
amino group + carboxylic acid group --> amide linkage, e.g. caprolactam (6-hexanelactam), C6H11NO, used to make nylon 4-aminobutanoic acid lactam, (β lactam 4C ring, γ-lactam 5C ring, δ-lactam 6C ring), e.g. the pyrimidine base uracil, β-lactam antibiotics, e.g. penicillin, also:
caprolactam, C6H11NO, also: lactones (cyclic esters), e.g. 4-hydroxybutanoic acid lactone CH2CH2CH2OC=O, γ-butyrolactone, GBL, C4H6O2.


16.2.21 Parabens
Parabens get their name from their origin as esters of parahydroxybenzoic acid, C7H6O3.
Parabens: HO.(C6H4.CO.O-R), where R = alkyl group
See diagram 16.3.4.12: Parabens
Preservatives, food additives: E214 to E219
Parabens are esters of para-hydroxybenzoic acid and are used commonly as preservatives in cosmetics and food.
However, some parabens may cause allergic reactions in some people and affect DNA.
Some parabens are said to imitate oestrogen and are suspected of causing cancer, but there is no evidence that they are carcinogenic.
However, in Australia, some skin care products are labelled "Paraben free", because of this suspicion.
Propyl paraben, propyl 4-hydroxybenzoate, "Nipagin A", E216, C10H12O3, a natural product
However, it is usually manufactured for use as a food preservative against fungi and as a cosmetics industry preservative.
Methyl paraben, methyl 4-hydroxybenzoate, "Nipagin B", E218, CH3(C6H4(OH)COO, is used as anti-fungal agent in hair gels.
It occurs in blueberries.
Ethyl paraben, ethyl 4-hydroxybenzoate, E214, HO-C6H4-CO-O-CH2CH3, used as a food preservative.

16.2.22 Pyridine
Pyridine (pyridino), C5H5N, monodentate ligand
Pyridine molecule is a benzene molecule, C6H6, with one =CH- replaced by N.
Pyridine, C5H5N, has a penetrating offensive fishy odour and in some countries it is added to methylated spirit to deter ingestion.
Pyridine, Solution / mixture < 25%, Not hazardous
Contamination of the Tees Estuary, UK, by pyridine was suspected of causing large numbers of dead crabs and lobsters in 2022.
Pyridine is used as an anti-corrosive treatment in marine infrastructure.

16.2.23 Aromatic hydrocarbons
Aromatic hydrocarbons, arenes, alkylbenzenes:
* Anthracene, C14H10, paranaphthalene, anthracin, anthracene oil, Irritant, harmful if ingested, Very Hazardous, Toxic.
* Benzene, C6H6, also in some countries: petrol, pentane-hexane mixture, petroleum spirit.
Benzene is the simplest aromatic compound, but as it is toxic and carcinogenic, it should not be used in schools.
See diagram 16.8.1: Benzene compounds, anthracene
* Cyclohexane, C6H12
* Naphthalene, C10H8
* Styrene,) (phenylethene, C8H8, C6H5CH=CH2
* Toluene, C6H5CH3
* Xylene, (dimethylbenzene, (CH3)2(C6H4)


16.2.24 Aromatic alcohols
Aromatic alcohols, e.g. phenyl methanol (benzyl alcohol) C6H5CH2OH.


16.2.25 Benzofuran
Benzofuran, (2,3-Benzofuran), Coumarone, (1-Benzofuran), C8H6O, clear oily yellow liquid, aromatic odour, colourless, sweet-smelling, oily liquid
It is made by processing coal into coal oil, made into coumarone-indene resin for paints, varnishes, paper coatging, citrus fruit coatings.


16.3.1 Alpha hydroxy acids
Naturally occurring carboxylic acid, hydroxyl group on the carbon adjacent to the carboxyl group.
Used in skin care.
See diagram 16.3.8.6: Alpha hydroxy acids
Citric acid, HOC(CO2H)(CH2CO2H)2
Glyceric acid, C3H6O4, (2,3-Dihydroxypropanoic acid)
Glycolic acid, Hydroxyacetic acid, HOCH2COOH, sugar cane, sugar beet
Lactic acid, L-(+)-Lactic acid, 2-Hydroxypropionic acid, Sarcolactic acid, C3H6O3, sour milk
Malic acid, HOOCCH(OH)CH2.COOH, green apple sour taste, grapes
Mandelic acid, C6H5CH(OH)CO2H, bitter almond
Tartaric acid, L-(+)-Tartaric acid, L-Threaric acid, C4H6O6, HO2CCH(OH)CH(OH)CO2H, leavening agent.


16.3.2 Dicarboxylic Acids
Adipic acid, hexanedioic acid, HOOC(CH2)4COOH
Aldaric acids, HOOC-(CHOH)n-COOH, sugar acids
It is prepared from aldoses, e.g. D-glucose --> D-glucaric acid, C6H10O8
Fumaric acid, butenedioic acid, HCOOHC: CHCOOH } isomers
Maleic acid, butenedioic acid, HCOOHC: CHCOOH } isomers
Malic acid, 2-hydroxybutanedioic acid, HOOCCH(OH)CH2.COOH
Malonic acid, (propanedioic acid), HOOCCH2COOH
Oxalic acid, ethanedioic acid COOH)2
Oxaloacetic acid, HO2CCH2COCO2H (in Kreb's cycle)
Succinic acid, butanedioic acid CH2)2(COOH)2
Tartaric acid, 2, 3-dihydroxybutanedioic acid CHOH)2(COOH)2.


16.3.3 Keto acids
Acetoacetic acid, diacetic acid, C4H6O3, CH3COCH2COOH
Pyruvic acid, C3H4O3, CH3COCOOH, metabolism of proteins and carbohydrates, release of energy
Palmitoleic CH3(CH2)5CH=CH(CH2)7COOH.


16.3.4 Saturated carboxylic acids
Arachidic acid, icosanoic acid, C20H40O2, straight-chain saturated fatty acid, long-chain fatty acid, of peanut oil
Benzoic acid, C6H5COOH, benzenecarboxylic acid, phenylformic acid, harmful if ingested
Butyric acid, butanoic acid, C3H7COOH, CH3(CH2)2COOH, in rancid butter
Capric acid, decanoic acid, CH3(CH2)8COOH, C10H20O2, 7% of coconut oil, white crystals, (in palm oil, mammal milk)
It occurs in seed oils of Cuphea.
It is used to make esters for artificial fruit flavouring, corrosion inhibitants and surfactants.
Caproic acid (hexanoic acid), CH3(CH2)4COOH, occurs in goat fat.
Caprylic acid, CH3(CH2)6COOH, octanoic acid, , occurs in coconuts, breast milk, in sting of whip scorpions!
Chloroacetic acid, CH2ClCOOH
Decanedioic acid, C10H18O4, HOOC(CH2)8COOH, sebacic acid, in castor oil, natural white crystals, used in candles
Dichloroacetic acid, DCA, CHCl2COOH, occurs in chlorinated drinking water
Ethanoic acid, Acetic acid, CH3COOH, (Experiments)
Formic acid, CH2O2, HCOOH, methanoic acid (in insect stings, ants)
Lauric acid, dodecanoic acid, CH3(CH3)10COOH, (in coconut oil, soaps)
Myristic acid tetradecanoic acid, CH3(CH3)12COOH, (in nutmeg)
Myristic acid,Tetradecanoic acid, C14H28O2.
Oxalic acid, C2H2O4.2H2O, (HO2CCOOH, ethanedioic acid (in rhubarb, Oxalis)
Palmitic acid, CH3(CH2)14CO2H, hexadecanoic acid (palm oil, coconut oil, most animals / plants)
Propionic acid, propanoic acid, C2H5COOH, stored grains preservative)
Stearic acid, octadecanoic acid, CH3(CH2)16COOH, (in fats, soaps, waxes)
Trichloroacetic acid, C2HCl3O2, CCl3COOH, highly toxic, used in chemical reactions
Trifluoroacetic acid, CF3COOH, Corrosive by all routes, causes severe burns, damages eyes
Trifluoroacetic acid, Solution < 1%, Not hazardous (used in chemical reactions)
Valeric acid, CH3(CH2)3COOH, pentanoic acid, occurs in valerian herb


16.3.5 Tricarboxylic acids
Citric acid, (2-hydroxypropane-1,2,3-tricarboxylic acid), (Citric acid, anhydrous), Citro, C6H8O7 (anhydrous), C6H8O7 or CH2COOH-C(OH)COOH-CH2COOH
Tricarboxylic acid, in fruits, e.g. lemons, and prepared by fermentation with (Aspergillus niger), used for drink flavouring.
Most of the citric acid used in the world is prepared from (Aspergillus niger).
Citric acid is in Kreb's cycle in plant and animal cells.
I

16.3.6 Unsaturated fatty acids (double bond =)
Acrylic acid (2-propenoic acid), CH2=CHCOOH
Polyunsaturated fatty acids, (PUFA), may have "cis-methylene-interrupted double bonds", "skipped bonds".
Two or more double bonds of the cis configuration are separated by a methylene group, i.e. CH=CH-CH2-CH=CH.
Linolenic acid, α-linolenic acid, C18H30O2.
Linoleic acid, C18H32O2, CH3(CH2)4CH=CHCH2CH=CH(CH2)7COOH


16.3.7 Barbiturates
See diagram 16.3.4.05a: Amylobarbital, barbital, pentobarbital, quinalbarbital, sodium phenytoin, thiopental
Barbituric acid, C4H4N2O3, an organic compound, is the parent compound of barbiturate drugs, but it is not itself pharmacologically active. Barbiturates are central nervous system depressants, which produces a decrease in neuronal transmission. The predominant effect occurs in the midbrain region, the part of the brain associated with arousal, causing mild sedation, hypnosis, anesthesia, and coma.
Barbiturateswere formerly used as sedatives and hypnotics.
Barbituric acid is formed by condensing urea with diethyl malonate, an ester from apples.
Barbituric acid derivatives include the following:
1. Barbital (US), barbitone, C8H12N2O3, "Veronal", formerly used or attempted used by would-be suicides.
2. Phenobarbital (US), phenobarbitone, C12H12N2O3, "Luminal", sedative and hypnotic, is an anticonvulsant drug used to treat epilepsy.
Phenobarbital causes side effects, e.g. sedation, depression and agitation, so replaced by phenytoin, C15H12N2O2, a commonly used anticonvulsant.
3. Sodium thiopental, C11H17N2NaO2S, ("Sodium Pentathol", thiopentone sodium, "Trapanal"), "truth drug", is a short acting barbiturate.
It used as a general anaesthetic to start anaesthesia, e.g. for caesarian section operation, causing unconsciousness in seconds.


16.3.8 Benzofurans
Biological compounds with fused benzene and furan rings, mostly in Compositae, many are antifungal
Albofuran A, C24H26O4, occurs in (Morus alba).
Albanol, Mulberrofuran G, C34H26O8, occurs in (Morus alba).
Cotonefuran, beta cotonefuran, C16H16O6, occurs in infected Cotoneaster sapwood, antifungal
Toxol, C13H14O3, occurs in Haplopappus, causes milk sickness from cattle feeding on (Eupatorium urticaefolium).
Tremetone, C13H14O2, ingested by cattle in white snake root (Eupatorium rugosum) causes trembling leading to death, also causes milk sickness


Angelicin, C11H6O3, isopsoralen, a furanocoumarin, has photobiological effects on bacteria, yeast and cultured mammalian cells.
It is anti-proliferative, antifungal, anti-inflammatory, inhibits tumour, photosensitising, spasmolytic.
It is used to treat psoriasis and thalassemia.
It occurs in coriander, dong dang gui, chervil, spear grass, dill, (Bituminaria bituminosa), roots of (Angelica archangelica), Heracleum, (Selinum vaginatum), (Psoralea corylifolia), Castanopsis, and (Ficus nitida).
The name "Angelicin" is also used for "beta-sitosterol"' plant steroid.


16.4.21 Apterin
Apterin, C20H24O10, coumarin, furanocoumarin, glucoside, reported to dilute blood in coronary arteries, block calcium channels.
It occurs in roots of (Angelica archangelica) and in (Levisticum officinale).


>16.4.3 Archangelicin,
Archangelicin, C24H26O7, angular furanocoumarin, in roots of (Angelica archangelica).


16.4.4 Arabinoxylans
Arabinoxylans is a polysaccharide found in the primary and secondary cell wall of plants i.e. wood and also in the cereal grains.
It is a combination of arabinose and xylose.


16.4.5 β-glucan
β-glucan (cellotriose, β-D-glucan, glucan, C18H32O16, D-(+)-cellotriose, glucopyranosyl
Oligosaccharides raffinose, stachyose and verbascose are present in significant quantities in legume seeds.


16.5.1 Waxes
Waxes are fatty acid esters of high molecular weight alcohols, i.e. lipids with a long chain alcohol + more than 3 fatty acids.
Solid at room temperature, harder, more brittle and less greasy than fats at the same temperature.
Waxes are found in skin, fur feathers, and outer layers of leaves and fruits as follows:
Fats and oils are fatty acid esters of the trialcohol glycerol.
Waxes are esters of long chain C16 and above alcohols (with one hydroxyl group), and long chain C18 and above fatty acids.
Natural waxes are mixtures of esters and some hydrocarbons.


16.5.2 Beeswax
Beeswax, C15H31CO2C30H61, C30H61(C=O)O(C15H31), comes from the cells of the honeycomb.
White and yellow beeswax, food additive, E901, glazing agent
Beeswax from bee honeycomb mixture includes the palmitic acid ester of melissyl alcohol, melissyl palmitate, (C15H31COOC30H61).
It contains esters of C16 and C28 acids with C30 and C32 alcohols + mainly C31 hydrocarbons.
Beeswax is used as a stiffening agent in ointments and creams, and enables water to be incorporated to produce water-in-oil emulsions.
It is also used as a coating in the manufacture of modified-release oral preparationss.
Beeswax is used in furniture polishes, cosmetics and body products, because of its hydrophobic protective properties.
Also, it is used in the food industry, as a film to wrap cheese for maturing or as a food additive (E901) to give shine to the products.
It may be effective for healing bruises, inflammation and burns.
It has antimicrobial properties against Staphylococcus aureus, Salmonella enterica, Candida albicans and Aspergillus niger.
These inhibitory effects are enhanced synergistically with other natural products such as honey or olive oil.
In the food industry, beeswax marketed in two forms:
1. Yellow beeswax, yellow or light brown solid brittle when cold and odour of honey, 2. White beeswax, white to translucent, faint odour of honey
Beeswax is used as a carrier for flavours and clouding agent in water-based drinks, no reported allergenicity.
White and yellow beeswax, food additive, E901, glazing agent, release agent, for craft modelling, ointments, and polishes.
Beeswax from bee honeycomb mixture includes the palmitic acid ester of melissyl alcohol, melissyl palmitate, [C15H31COO(C30H61].
Sealing wax is usually a mixture of beeswax, shellac and turpentine, which may be coloured red for business or black for mourning.


16.5.3 Bergapten
Bergapten,, C12H8O4, (5-methoxypsoralen), occurs in citrus essential oils, in bergamot oil, and it causes phytotoxicity.
It may be used to treat psoriasis, and in sun-tanning lotions to increase melanin production, but is phytotoxic and may cause over-pigmentation of the skin.


16.5.4 Candelilla wax
Candelilla, (Euphorbia antisyphilitica), Euphorbiaceae
It is opaque to translucent, with aromatic odour when heated.
It contains mainly odd-numbered saturated straight-chain hydrocarbons, C29-C33, esters, and alcohols C28-C34.
It is used as a carrier for flavours in chewing gum and clouding agent in water-based drinks, no reported allergenicity.
Candelilla wax, food additive glazing agent, E902, emollient, yellow-brown, hard, brittle, lustrous solid


16.5.5 Carnauba wax
Carnauba wax comes from the leaves of the Brazilian wax palm, Copernicia prunifera, Arecaceae.
It is an odourless, yellow to dark brown-green solid, which floats on water, and contains esters of the C32 and C34 alcohols and C24 and C28 fatty acids.
This wax is harder and more impervious than beeswax.
Carnauba wax, glazing agent, E903, used to wax fruit, in cosmetics.


16.5.6 Cetyl palmitate
Cetyl palmitate, C32H64O2, hexadecyl hexadecanoate, palmityl palmitate, (CH3(CH2)13CH2(C=O)O(CH2)15CH3
Cetyl palmitate is a palmitate ester resulting from the condensation of hexadecanoic acid, C16H32O2, with cetyl alcohol, C16H34O.
It is a component of spermaceti wax in sperm whale oil.
It is used as a thickener and emollient in cosmetics.
It occurs in (Triticum aestivum), (Psidium guajava), and in Lobophytum.


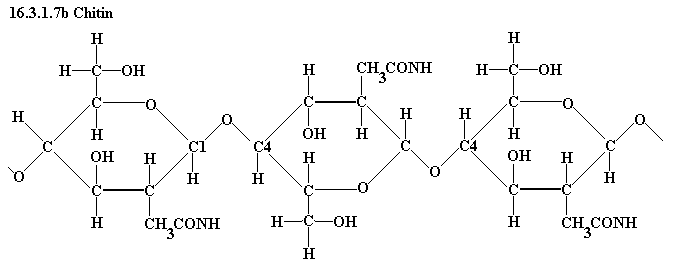
16.5.7 Chitin
See diagram 16.3.1.7a: Chitin
Chitin (C8H13O5N)n, is an insoluble nitrogenous polysaccharidepolymer of the monosaccharide derivative of glucose, N-acetylglucosamine C8H15NO6
It contains chains of N-acetylglucosamine in support structure of invertebrates and fungi, e.g. arthropod shells and skeletons, fungi cell walls, crabs,
insect exoskeleton, mollusc radula, cephalopod beak of squid.
Chitin is a similar structure to cellulose and keratin, and is used as a binder in dyes, adhesives, fabrics and dissolving surgical thread.


16.5.8 DHB
DHB. (6',7-Dihydroxybergamottin), C21H24O6, Coumarin, in grapefruit
The grapefruit juice effect, DHB is a furanocoumarin that inhibits CYP3A4 and is found in grapefruit juice and Seville orange juice.
Grapefruit juice increases the oral bioavailability of many CYP3A4 substrates, including cyclosporine.
It appears to be the primary compound in grapefruit juice that is responsible for inhibition of testosterone 6B hydroclase activity.
Grapefruit juice reduces CYP3A activity to a significantly greater extent than does orange juice.
In grapefruit, 6',7 dihydroxybergamottin, which is implicated in drug interactions, is most concentrated in the rind or in oil extracted from the peel.


16.5.9 Dicoumarol
Dicoumarol, C19H12O6, bishydroxycoumarin, dicumarol, dicoumarin, is a 4-hydroxycoumarin drug.
It is related to derivative Warfarin, which has replaced treatment with Dicoumarin, oral anticoagulant, bitter taste, sweet smell, vitamin K antagonist.
It is used as an inhibitor of reductases, reduces the thrombogenicity of clots, does not itself affect coagulation, transformed in mouldy feeds into active dicoumarol.
It causes bleeding disease in cattle.


16.5.10 Esculetin
Esculetin, C9H6O4, aesculetin, (6,7-dihydroxycoumarin), cichorigenin, Coumarin derivative, an hydroxycoumarin, lactone, anticoagulant
Its glucoside is used in UV filters.
It occurs in (Cichorium intybus), and in (Hordeum vulgare).
See diagram: Esculetin compound.


16.5.11Esculin
Esculin, C15H16O9, aesculin, a coumarin glucoside, occurs in Horse chestnut (Aesculus hippocastanum), Sapindaceae, in Hawthorn, (Crataegus monogyna), and blackthorn (Bursaria spinosa).


16.5.12 Fraxin
Fraxin, C16H18O10, fraxetin-8-O-glucoside, a hydroxycoumarin, is an aromatic ether.
It occurs in leaves of (Fraxinus excelsior), (Acer nikoense), in (Prunus prostrata).
It is an anti-inflammatory agent and a hepatoprotective agent.
Fraxin gives blue-green colour by reflected light and pale green colour by transmitted light, a colourless glucoside, in the bark of the ash tree Fraxinus ornus.
Fraxin and aesculin are two coumarins in (Actinidia chinensis) and kiwi fruit, Chinese gooseberries (Actinidia deliciosa).


16.5.13 Furanocoumarins
Furanuocoumarins, FCs, occur in grapefruit juice. and include: bergamottin (BG), bergapten (BP), bergaptol (BT) and 6',7'-dihydroxybergamottin.
Linear furanuocoumarins include: Psoralen, Bergaptol, Bergapten, Xanthotoxin, and Isopimpinellin.
Angular furanuocoumarins include: Anglecin, Isobergapten, Sphondin, and Pimpinellin, and occur mostly in fruits and roots of Umbelliferae and Rutaceae, phytotoxicity, allergenic.
List of common phytotoxic furanocoumarins
Angular furanocoumarins:
Angelicin
Isobergapten, C112H12O8
Linear furanocoumarins:
Psoralen
Bergapten
Bergaptol
Isopimpinellin, C13H10O5
Xanthotoxin
Other furanocoumarins:
Apterin
Archangelicin
Citropten
Dicoumarol
DHB
Psora-4
Trioxsalen


16.5.14 Furanocoumarin glucoside
Furanocoumarin (Furan C4H4O), Coumarin, C9H6O2), 5-member aromatic ring), heterocyclic
Furanocoumarin occur in families Apiaceae and Rutaceae, are toxic and used as defence mechanism against herbivores
Some are photoactive, e.g. bergaptene, bergamotine, with their toxicity enhanced by ultraviolet radiation.
Can be detected by their blue, violet, brown, green or yellow colours, in UV light.
In water hemlock, coriander, cow parsnip, and snakeroot, wild parsnip, giant hogweed
Lipid-soluble, can be isolated during extraction of dried plant material with ether or light petroleum.
Angelicin and Psoralen are the most common furanocoumarin isomers.


Herniarin
Herniarin, , C10H8O3, ayapanin, (7-Methoxycoumarin), (7-Methoxy-2H-chromen-2-one)
It occurs in in barley, in mahaleb cherry (Prunus mahaleb), (Trichogonia grazielae), and in (Yponomeuta mahalebellus).


16.5.16 Heelball
Heelball is a polishing mixture of hard wax and black colouring used by shoemakers and for brass rubbings of monumental brasses using heelball over paper.


16.5.17 Jojoba oil
Jojoba, (Simmondsia chinensis), Jojoba oil, mainly wax esters
It is used in in cosmetics, but the seed is toxic and indigestible.


16.5.18 Meadow foam oil
Meadow foam oil (Limnanthes alba), Family Geometridea.


16.5.19 Osthole
Osthole, , C15H16O3, ostol, 0stole, (7-methoxy-8-(3-methyl-2-butenyl)-2H-1-benzopyran-2-one), a coumarin, botanical anti-fungal agent, neuroprotective, osteogenic, immunomodulatory, anticancer, hepatoprotective, cardiovascular protective, antimicrobial
It occurs in (Cnidium monnieri), and in (Angelica pubescens).


16.5.20 Phyllodulcin
Phyllodulcin, C16H14O5, dihydroisocoumarin, an hydroxybenzoic acid, sweetener, occurs in big leaf hydrangea, French hydrangea (Hydrangea macrophylla).
See diagram: Phyllodulcin compound.


16.5.21 Psoralen
Psoralen, C11H6O3, psoralene, ficusin, (the simplest member of the psoralens), it is a furocoumarin, irritant, used in photochemotherapy, photosensitizing agent, makes the skin more sensitive to ultraviolet light, photochemical reagent used for study of nucleic acid structure and function, mutagen and possibly carcinogen, used with ultraviolet light in PUVA (ultraviolet light therapy therapy), used to treat psoriasis, eczema and vitiligo.
Psoralens damage DNA and are irritants and cause skin inflammation, inhibits DNA synthesis and cell division, used in photochemotherapy with high-intensity long-wavelength UVA irradiation, Psoralen, the simplest of the psoralens, the parent compound of linear furanocoumarins, (tricyclic furocumarins): psoralen, bergaptol, bergapten, xanthotoxin, isopimpinellin, in fig, in carrot, celery, in parsley, in parsnips, in citrus fruits, in common vegetables, in Psoralea corylifolia, in Ficus salicifolia.
8-methoxsalen and 5-methoxsalen are furocoumarins called psoralens that have photosensitizing activity, used together with ultraviolet light (PUVA therapy) to treat vitiligo, eczema, psoriasis and lymphomas, for example methoxsalens are taken orally or applied topically in a bath containing the psoralen.


16.5.22 Pinitol
Pinitol, C7H14O6, D-pinitol, (3-O-Methyl-D-chiro-inositol), sugar alcohol,, anti-diabetic, expectorant, salt stress regulator which occurs n many plants
It is used to treat dementia and Alzheimer's Disease, in (Bougainvillea glabra), occurs in leaves of (Sutherlandia frutescens) in sugar pine (Pinus lambertiana), and in carob tree pods.
See diagram: Pinitol.


16.5.23 Quebrachitol
Quebrachitol, C7H14O6, L-Quebrachitol, (2-O-Methyl-L-chiro-inositol), occurs in (Allophylus edulis), latex of (Hevea brasiliensis), (Cannabis sativa), (Paullinia pinnata), and in (Aspidosperma quebracho).


16.5.24 Saccharin
Saccharin, C7H5NO3S, 2-sulfobenzoic acid imide, o-benzoic sulfimide, aromatic, homomonocyclic compound, contains only one benzene ring, odourless white crystals or crystalline powder, aqueous solution neutral or alkaline to litmus, but not alkaline to phenolphthalein, effloresces in dry air, intensely sweet taste, flavouring agent, non-nutritive sweetener.
Saccharines, E954s, used in soft drinks, carbonated beverages, fizzy drinks, sports drinks
Saccharin, ammonium salt food additive, called "EAFUS": Everything Added to Food in the United States.


16.5.25 Scopoletin
Scopoletin, C10H8O4, 7-hydroxy-6-methoxycoumarin, chrysatropic acid, gelseminic acid, increases lipase activity, plant growth factor, occurs in (Scopolia carniolica), and anise (Angelica acutiloba).


16.5.26 Scopolin
Scopolin, C16H18O9, scopoloside, murrayin, scopoletin 7-glucoside, monosaccharide derivative, a beta-D-glucoside
It occurs in tobacco leaves, and in English ivy (Hedera helix).


16.5.27 Sucralose
Sucralose, C12H19Cl3O8, trichlorogalactosucrose, E 955, Relative sweetness 650
Sucralose occurs in sugar substitute, artificial sweetener, "Splenda".
Each sachet of "Splenda" containing maltodextrin, dextrose and sucralose.
It is used in soft drinks, (carbonated beverages)


16.5.28 Trimethylpsoralen
Trimethylpsoralen, C14H12O3, trioxsalen, trisoralen, a psoralen, a furanocoumarin, causes photosensitization of the skin
It occurs in (Psoralea corylifolia).
It is used with UV-A for phototherapy treatment of vitiligo.


16.5.29 Inositol
Inositol, C6H12O6, occurs in in (Camellia sinensis).


16.5.30 Pinitol
Pinitol, C7H14O6, widely-used anti-diabetic medicine, occurs in (Sutherlandia frutescen), (Pinus lambertiana) and the carob tree (Ceratonia siliqua).


16.5.31 Viburnitol
Viburnitol, C6H12O5, occurs in (Viscum album).
The medical effects of similar naturally occurring cyclitols, carbocyclic polyols, are being invesigated to find a posible medical use for this substance.


16.5.32 Wool wax
Wool wax is a better name than wool fat, or lanolin, because it is not a fat and it comes from sheep sebaceous glands.
Wool wax, wool grease, degras, from the scouring of wool contains fatty acid esters of cholesterol, lanosterol and fatty alcohols.
It forms as semi-solid emulsion in water, which is purified to make lanolin.
Lanolin is a yellow fat obtained from sheep's wool, used as an emollient, cosmetic, and pharmaceutic aid.
Lanolin is the purified, secreted product of the sheep sebaceous glands, and mainly consists of long-chain waxy esters that lack glycerides. Lanolin is used in the protectionof human skin against infections or skin irritation, for baby skin treatment and for sore nipples in breastfeeding mothers,


16.6.1 Terpenes
Terpenes, C10H16, are volatile aromatic hydrocarbons, which occur in many plant essential oils.
Terpenes are hydrocarbons, but terpenoids, isoprenoids, are terpenes modified by additional functional groups, usually containing oxygen.
Terpenes can be defined as a class of compounds composed of repeating 5-carbon units of hemiterpenes (one isoprene units).
Terpenes are in essential oils, usually in conifers or citrus.
Terpenes may be removed from essential oils to prevent oxidation spoilage.
Terpenes are unsaturated hydrocarbons with of two or more isoprene C5H8, units, joined together.
Terpenes are unsaturated hydrocarbons formed by polymerization of two or more 5-carbon isoprene units, CH2:C(CH3)CH:CH2, C5H8.
An isoprene unit has a four carbon chain and a one carbon branch at C2.
Terpenes (isoprenoids), occur mostly in plant essential oils and may be isolated as a water-insoluble oil through distillation.
Terpenes contain functional groups, e.g. C=C, OH, C=O and may be acyclic or cyclic.
Terpenes may be poisonous and can cause painful rashes, e.g. Manchineel tree (Hippomane mancinella), Cicutoxin water hemlock, (Cicuta douglasii).
Phenolic compounds, often associated with terpenes, contain benzene rings with attached hydroxyl groups C-OH.
Terpenes may be organic solvents and cleaning agents with strong characteristic odours.
They occur in pine trees or citrus fruit, e.g. Limonene, Turpentine (a mixture of terpenes).
The molecular formulas of terpenes are multiples of isoprene (C5H8)n, where n = number of isoprene units, linked to form linear chains or rings.
Monoterpenes, two isoprene units, C10H16 Sesquiterpenes, three isoprene units, C15H24 Diterpenes, four isoprene units, C20H32
Triterpenes, six isoprene units, C30H48 Tetraterpenes, eight isoprene units, C40H64 Polyterpenes, many isoprene units.


16.6.2 Terpenoids
Terpenoids, (C5H8)n, include terpenes, diterpenes, sesquiterpenes
Terpenoids, isoprenoids (C5H8)n, are modified terpenes.
Terpenoids are the largest group of natural products and are responsible for many scents and flavours.
Terpenoids are terpenes modified by oxidation or rearrangement of the carbon skeleton.
Terpenoids are natural products derived from isoprene units.
Terpenoids contain oxygen in various functional groups.


16.6.3 Terpinenes
Terpinenes, C10H16, cyclic terpenes, cyclohexadiene, are antioxidant, anti-cancer, anti-fungal, anti-bacterial, sedative, repels mosquitoes, flammable, health hazard, antioxidant,, volatile oil component
Three isomeric monoterpenes:
1. Alpha-terpinene, (p-Mentha-1,3-diene), volatile oil component, oil with lemon smell, in cardamom, coriander, marjoram, allspice.
In many essential oils, e.g. Citrus, Eucalyptus, and Juniperus, Oil of Litsea ceylanica, flavouring agent, anti-fungal
2. Beta-terpinene, (p-Mentha-1(7),3-diene), no known natural source, but prepared synthetically from sabinene in oil of savin.
3. Gamma-terpinene, (Delta-terpenine), terpinolene, (p-Mentha-1,4-diene), smoke or wood smell
It occurs in coriander, cumin, lemon, samphire, apple, lilac, tea tree, Valencia orange oil, Rau om.
5

16.6.4 Trimethoxycoumarin
Trimethoxycoumarin, C12H12O5, fraxinol methyl ether, (5,6,7-trimethoxychromen-2-one), antibacterial agent, aromatic ether


16.6. Trioxsalen
Trioxsalen, C14H12O3, a furanocoumarin and a psoralen derivative, occurs in (Psoralea corylifolia).
It causes photosensitization of the skin and increases the skin's sensitivity to sunlight, causing serious sunburns if not properly used, increases the chance of skin cancer and cataracts.
In albinism, trioxsalen will increase the tolerance of the skin to sunlight, although no pigment is formed.
Trioxsalen is used in conjunction with ultraviolet light A (UVA) in the treatment is known as PUVA (psoralen plus ultraviolet light A).


16.6.6 Umbelliferone
Umbelliferone, C9H6O3, an hydroxycoumarin, yellow-white crystalline solid, absorbs UV light, so in sunscreens, mutagenic, a phenylpropanoid, possible antioxidant.
It occurs in Asafoetida, (Ferula assafoetida), Chamomile, (Matricaria chamomilla), Ficus septica and in Artemisia ordosica
Umbelliferone derivatives include furanocoumarins.


16.6.7 Xanthotoxin
Xanthotoxin, C12H8O4, (8-methoxsalen), (8-MOP), with ultraviolet used to study DNA repair, used to treat psoriasis, eczema, vitiligo, modifies how skin cells react to UVA radiation.


16.6.8 Xanthotoxol
Xanthotoxol, C11H6O4, 8-Hydroxypsoralen, (8-Hydroxypsoralene),,an 8-hydroxyfurocoumarin, in fats and oils, occurs in (Aegle marmelos), (Angelica archangelica), and in seeds of (Pastinaca sativa), parsnip.